Grammardog
To Kill a Mockingbird by Harper Lee (paperback only)
To Kill a Mockingbird by Harper Lee (paperback only)
Couldn't load pickup availability
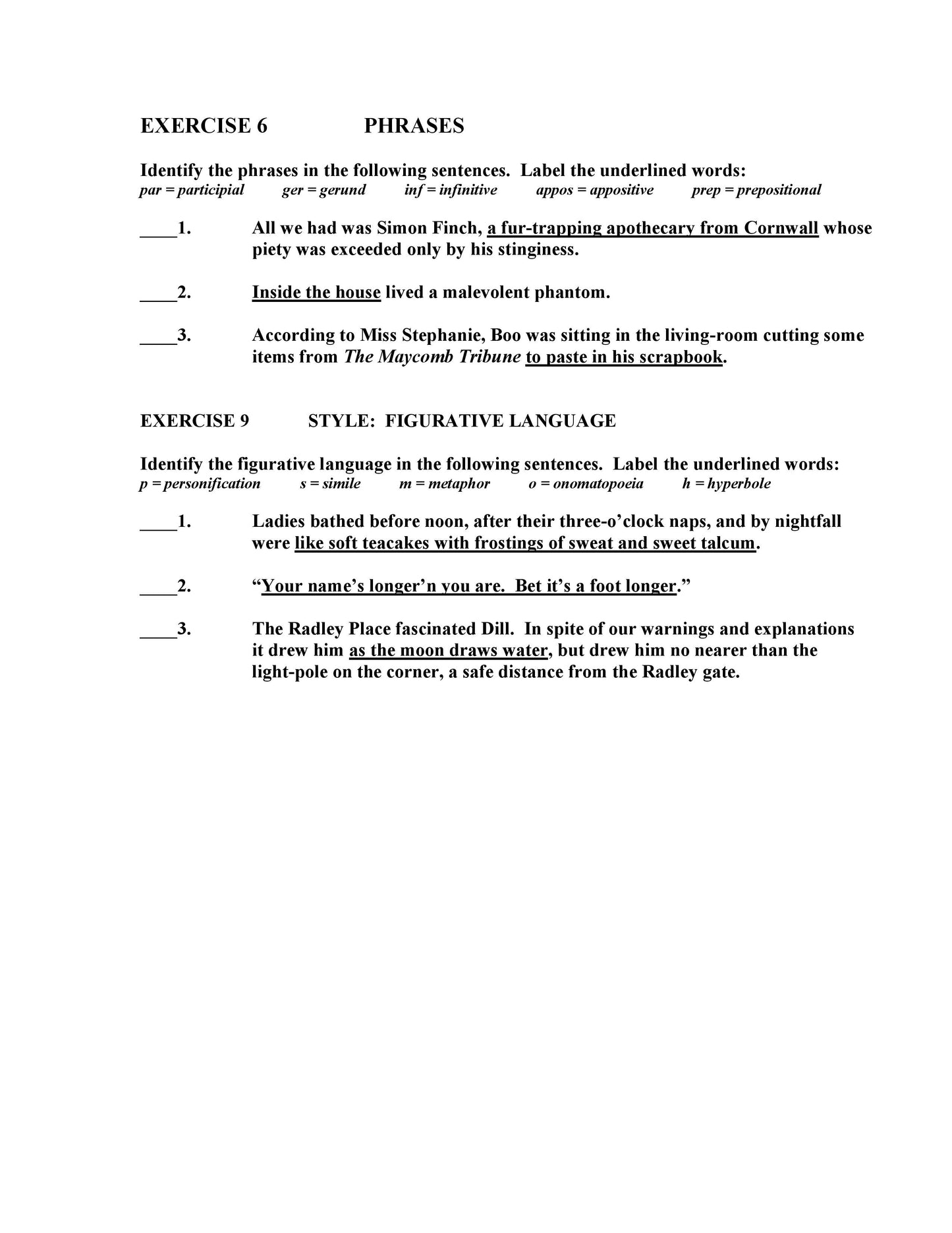
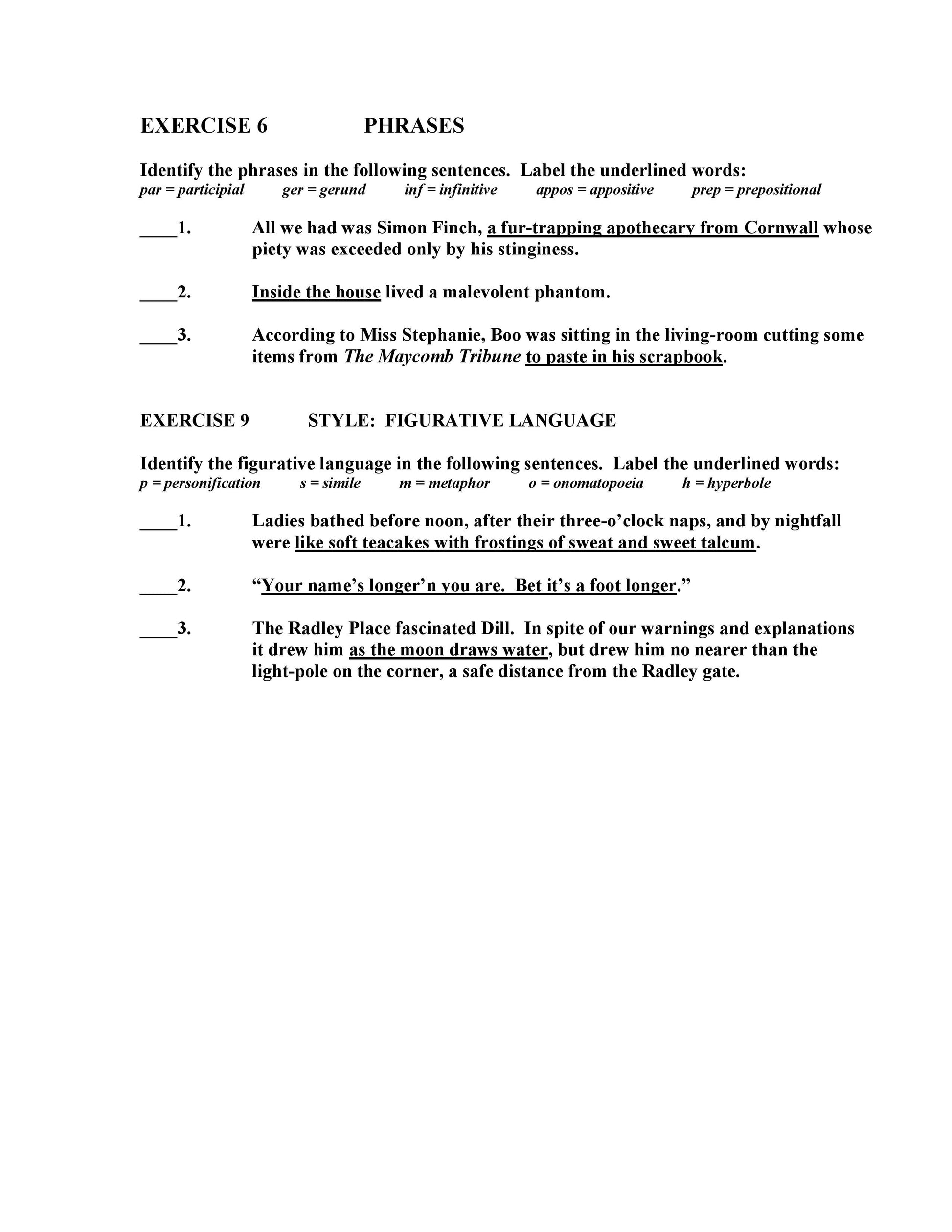
The Grammardog Guide to To Kill a Mockingbird contains 16 analytical multiple choice quizzes with a total of over 250 questions. These multiple choice questions based on text sentences from the classic American novel by Harper Lee are excellent teaching tools, providing the basis for thoughtful, engaging activities for your students.
The Grammardog Guide to To Kill a Mockingbird is available in paperback only. USPS shipping applied at checkout.
Figurative language evokes hot summer nights ("ladies . . . are like soft teacakes of sweat and sweet talcum") and frustration with having to wear a school dress that feels like "the starched walls of a pink cotton penitentiary." Allusions include Merlin, Tarzan, Sherlock Holmes, Ivanhoe and Rosetta Stone.
58 pages, ISBN 978-1-60857-202-1
Share



