1
/
of
4
Grammardog
The Call of the Wild by Jack London
The Call of the Wild by Jack London
Regular price
$14.95 USD
Regular price
Sale price
$14.95 USD
Unit price
/
per
Couldn't load pickup availability
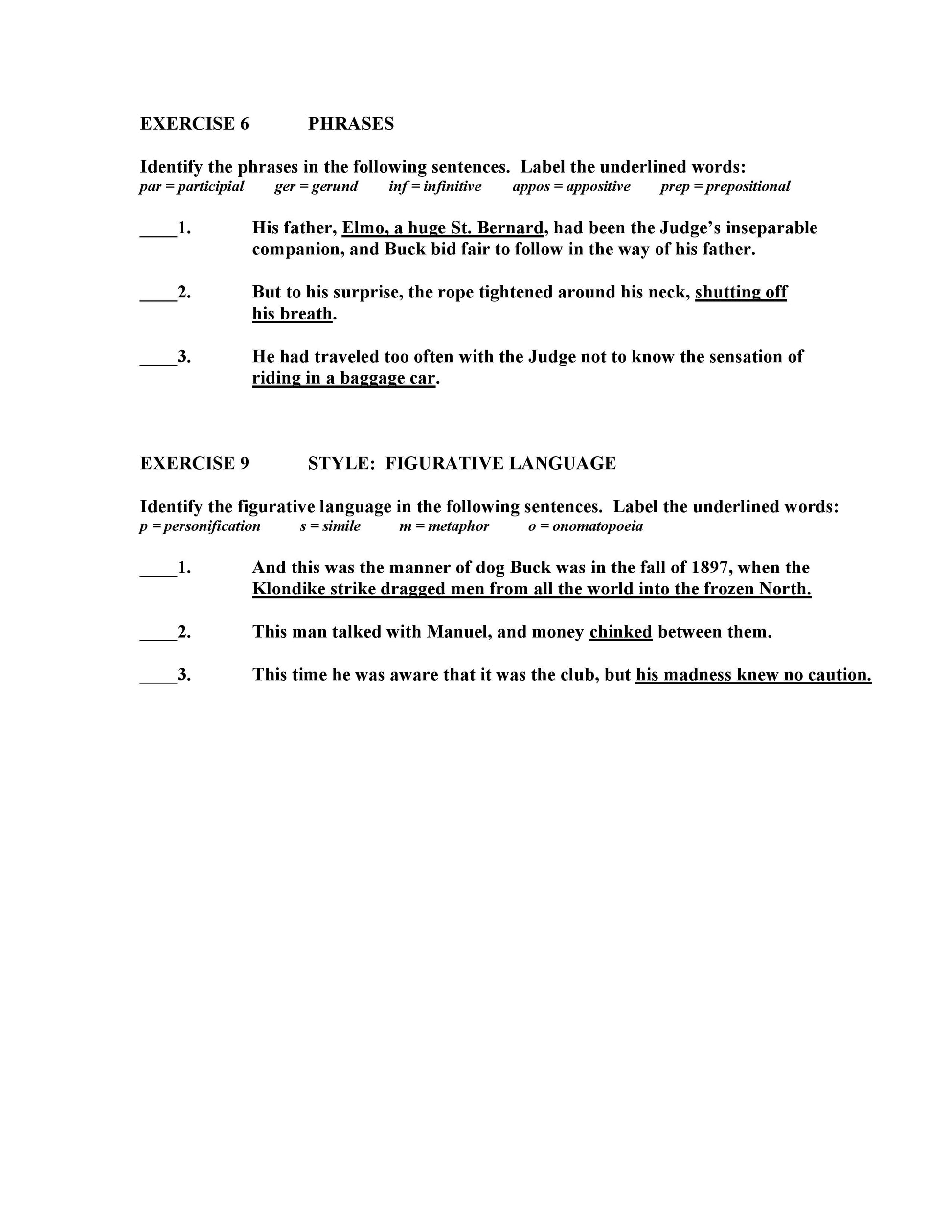
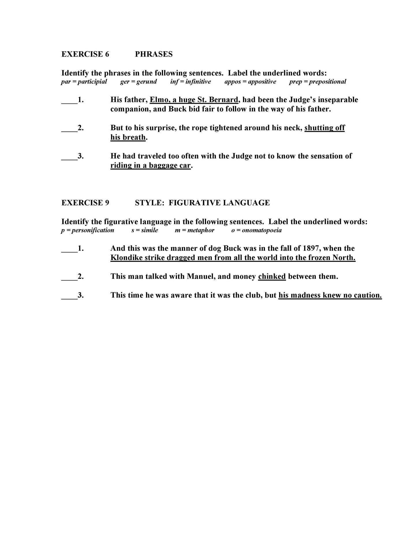
The Grammardog Guide to The Call of the Wild contains 16 analytical multiple choice quizzes with a total of over 250 questions. These multiple choice questions based on text sentences from the adventure story by Jack London are excellent teaching tools, providing the basis for thoughtful, engaging activities for your students.
The main character is a dog which makes for interesting sentences that describe human behavior and the snowy Yukon wilderness from a dog's point of view. Allusions reflect the conflict in the story between civilized dog versus uncivilized dog and laws of civilization versus primordial instinct and lawlessness.
58 pages, ISBN 978-1-60857-016-4
Share



