1
/
of
4
Grammardog
Rikki-Tikki-Tavi by Rudyard Kipling
Rikki-Tikki-Tavi by Rudyard Kipling
Regular price
$14.95 USD
Regular price
Sale price
$14.95 USD
Unit price
/
per
Couldn't load pickup availability
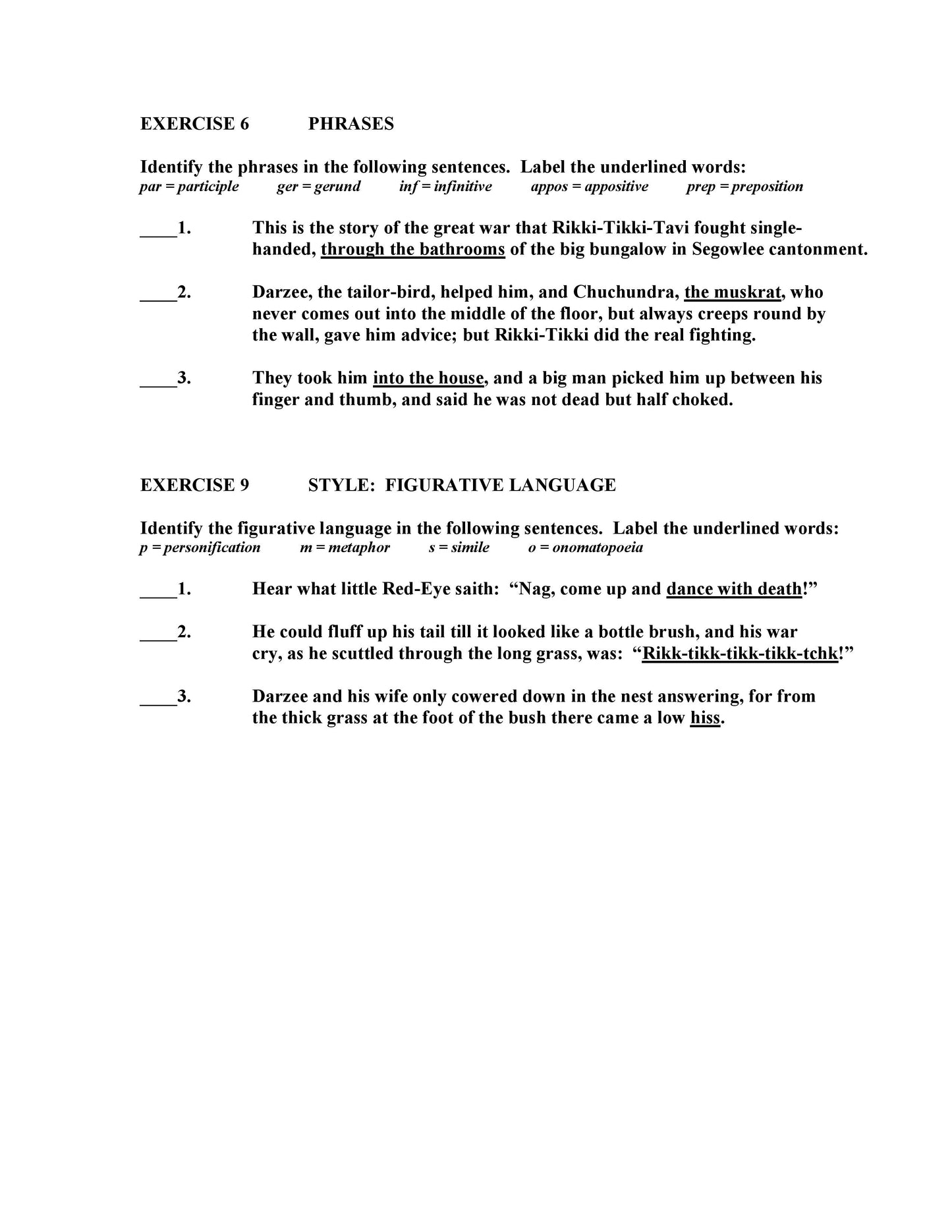
The Grammardog Guide to Rikki-Tikki-Tavi contains 16 analytical multiple choice quizzes with a total of over 250 questions. These multiple choice questions based on text sentences from the adventure story by Rudyard Kipling are excellent teaching tools, providing the basis for thoughtful, engaging activities for your students.
The simple story uses all the elements of figurative language, poetic devices, sensory imagery and allusions. Quizzes feature the personification of Evil and Death and allusions to war, survival, and civilization. Onomatopoeia includes "Ding-dong-tock! cheep, and whack."
58 pages, ISBN 978-1-60857-077-5
Share



