Grammardog
Huckleberry Finn by Mark Twain
Huckleberry Finn by Mark Twain
Couldn't load pickup availability
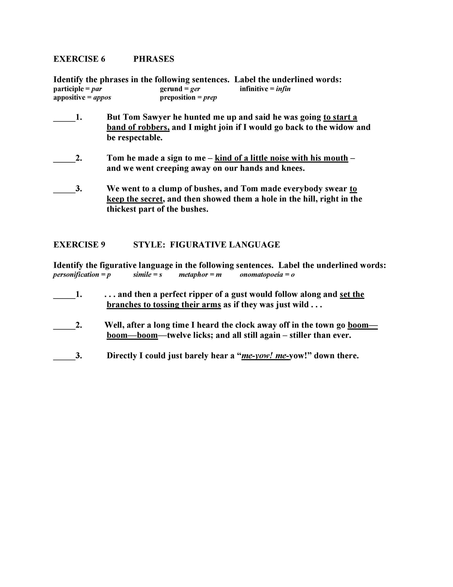
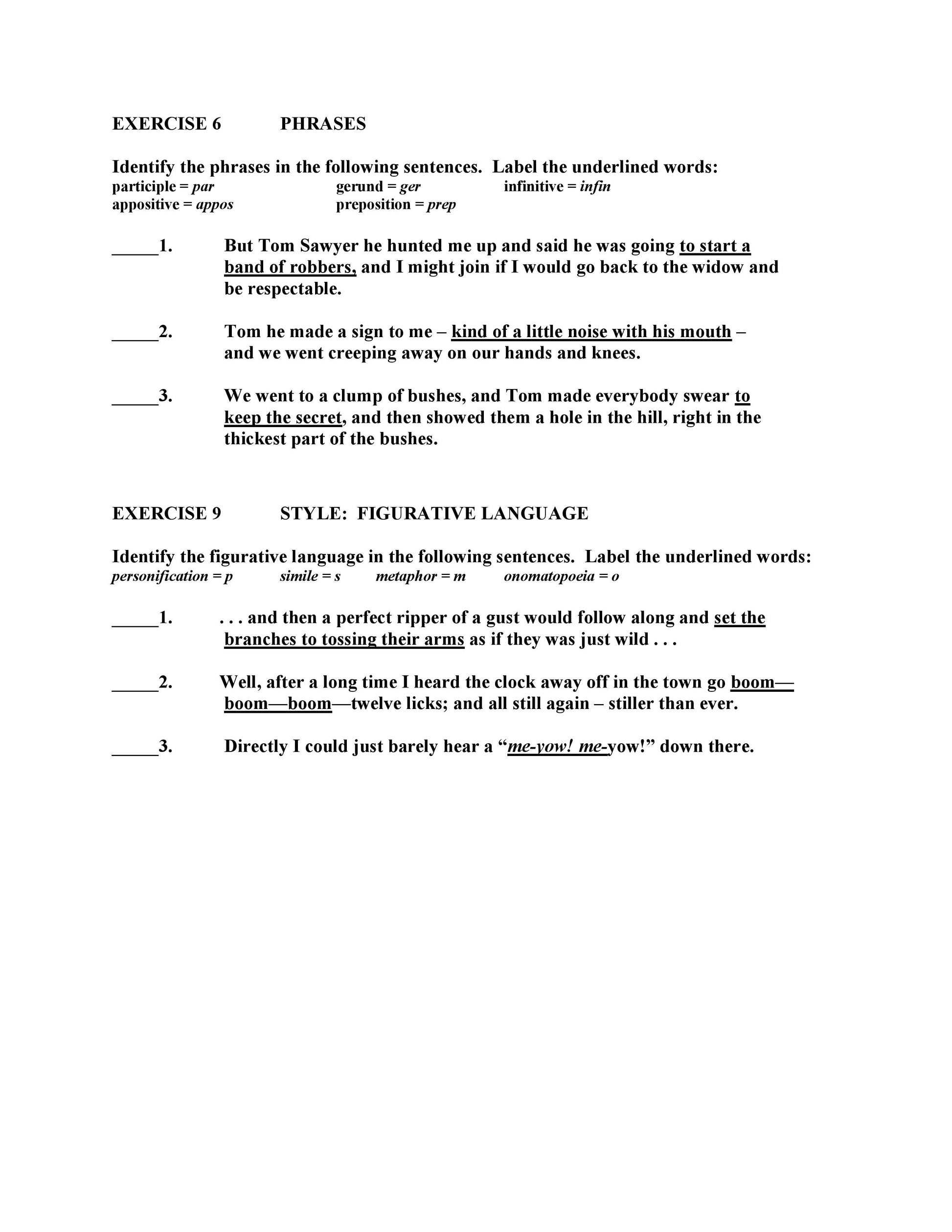
The Grammardog Guide to The Adventures of Huckleberry Finn contains 16 analytical multiple choice quizzes with a total of over 250 questions. These multiple choice questions based on text sentences from the classic American novel by Mark Twain are excellent teaching tools, providing the basis for thoughtful, engaging activities for your students.
Language in this coming of age story features rhyme ("rumbling, grumbling, tumbling down the sky") and onomatopoeia (Lightning is "hwhack!" Thunder is "bum! bum! bumble-umble-umbum-bum-bum-bum!" A horse's gallop is "Plunkety-plunk, plunkety-plunk"). A quiz on humor terms identifies sentences containing hyperbole, colloquialism and malapropism.
58 pages, ISBN 978-1-60857-021-8
Share



