1
/
of
3
Grammardog
Figurative Language in Dickens
Figurative Language in Dickens
Regular price
$4.99 USD
Regular price
Sale price
$4.99 USD
Unit price
/
per
Couldn't load pickup availability
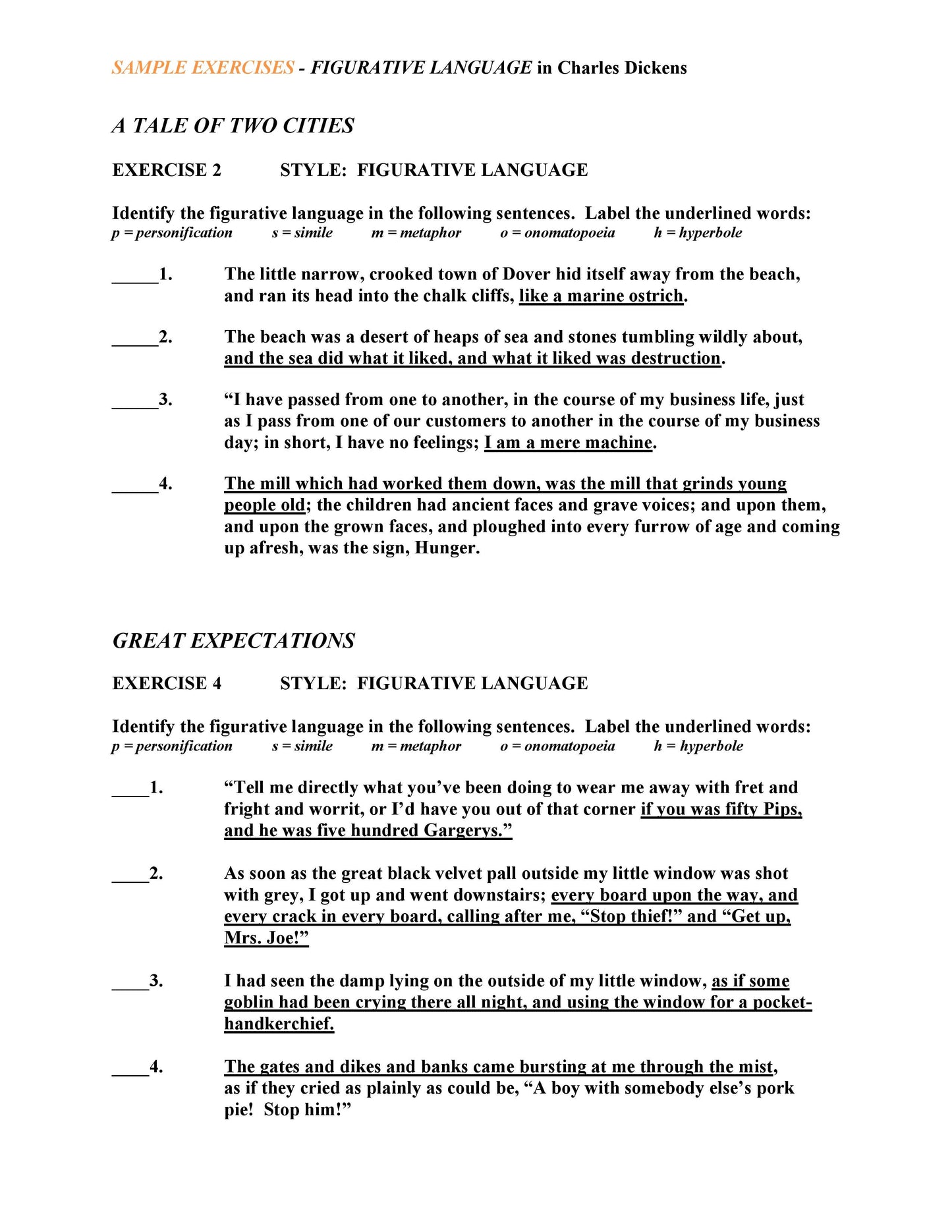
The Grammardog Guide to Figurative Language in Charles Dickens contains 6 quizzes with 150 multiple choice questions that identify figurative language (metaphors, similes, personification, hyperbole, onomatopoeia) in 6 novels by Charles Dickens.
6 novels include:
A Christmas Carol
A Tale of Two Cities
David Copperfield
Great Expectations
Hard Times
Oliver Twist
27 pages, ISBN 978-1-60857-209-0
Share


