Grammardog
Dr. Jekyll and Mr. Hyde by Robert Louis Stevenson
Dr. Jekyll and Mr. Hyde by Robert Louis Stevenson
Couldn't load pickup availability
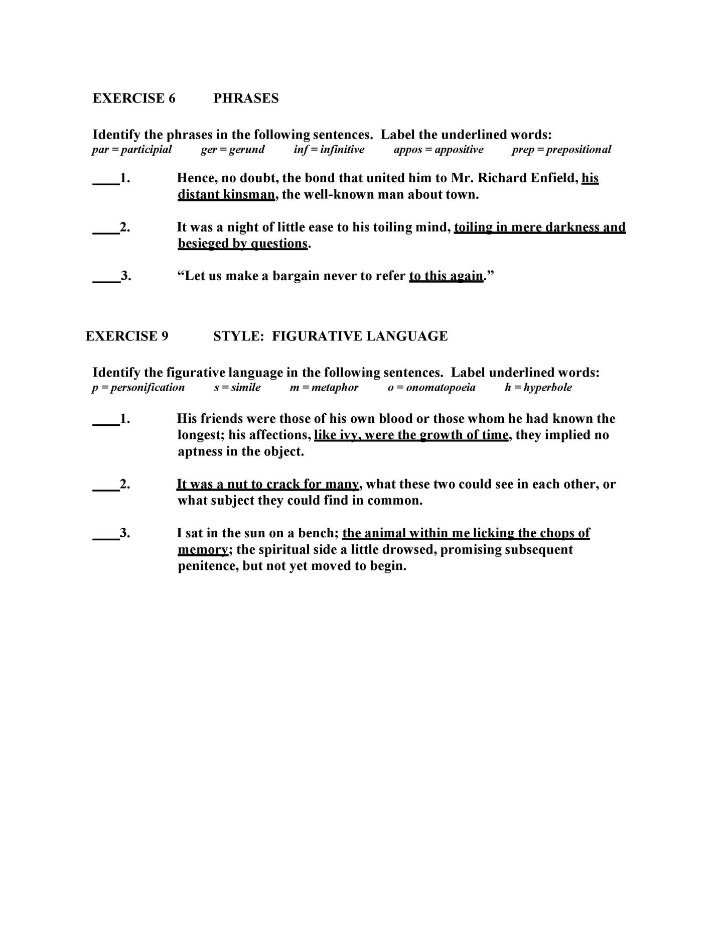
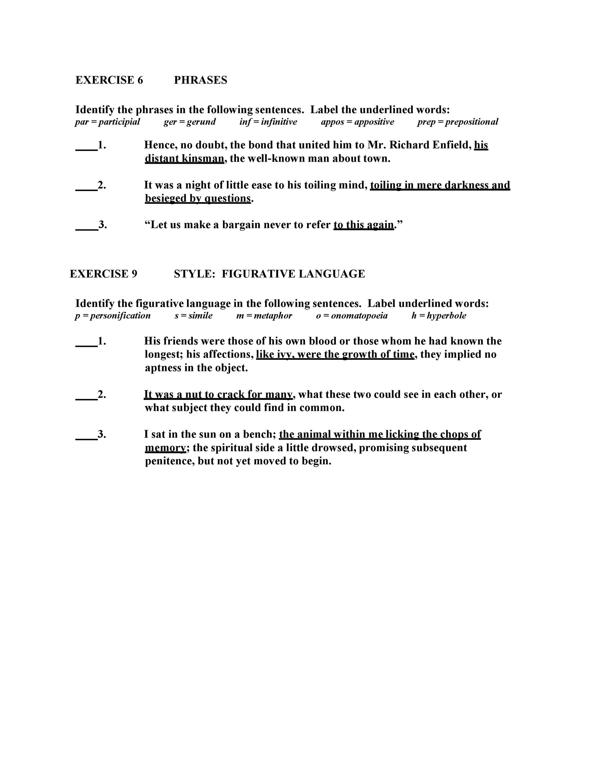
The Grammardog Guide to Dr. Jekyll and Mr. Hyde contains 16 analytical multiple choice quizzes with a total of over 250 questions. These multiple choice questions based on text sentences from the iconic mystery novel by Robert Louis Stevenson are excellent teaching tools, providing the basis for thoughtful, engaging activities for your students.
Figurative language creates suspense ("the animal within me licking the chops of memory," "a certain sinister block of building thrust forward," "the fog still slept on the wing above the drowned city," "his conscience slumbered"). Sensory imagery echoes the tone of mystery ("an odd, light footstep drawing near," "mopped his brow with a handkerchief," "hissing intake of the breath").
58 pages, ISBN 978-1-60857-040-9
Share



