1
/
of
4
Grammardog
Anthem by Ayn Rand
Anthem by Ayn Rand
Regular price
$14.95 USD
Regular price
Sale price
$14.95 USD
Unit price
/
per
Couldn't load pickup availability
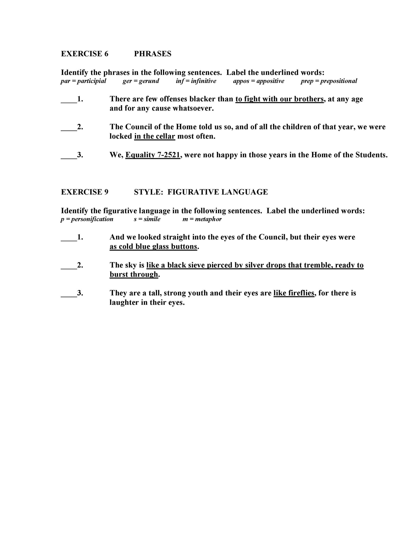
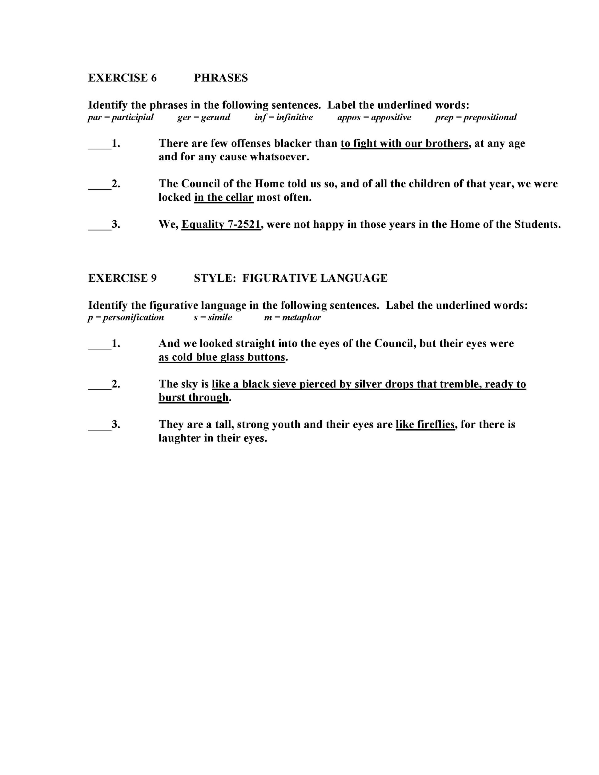
The Grammardog Guide to Anthem contains 16 analytical multiple choice quizzes with a total of over 250 questions. These multiple choice questions based on text sentences from the dystopic tale by Ayn Rand are excellent teaching tools, providing the basis for thoughtful, engaging activities for your students.
Quizzes use short sentences characteristic of the futuristic genre. Figurative language contrasts nature with the sterile world of dystopia (blue as morning, puddle of light, the trees have swallowed the ruins). Allusions reflect the conflict between government and technology and mythology and archetypal symbols that stir the emotions.
58 pages, ISBN 978-1-60857-011-9
Share



